Kondensacja pary wodnej to zjawisko, które w budynkach potrafi wyrządzić duże szkody, od zawilgoceń i zacieków, po rozwój grzybów pleśniowych zagrażających zdrowiu mieszkańców. W jednej z realizacji miałem okazję uczestniczyć w przygotowaniu opinii technicznej dotyczącej cieknącego stropu międzykondygnacyjnego. Dzięki czemu przygotowałem szczegółowe studium przypadku, w którym opisałem kroki: od diagnozy problemu kondensacji na stropie, przez nieskuteczne próby naprawy, aż po finalne, skuteczne rozwiązanie.
W skrócie: Strop między chłodnią a nieogrzewanym garażem zaprojektowano z ociepleniem wełną mineralną od strony garażu. Efekt? Intensywna kondensacja i cieknąca z sufitu woda. Ani farby termoizolacyjne, ani osuszacze nie pomogły. Dopiero szczegółowa analiza cieplno-wilgotnościowa wskazała rozwiązanie: ocieplenie płytami rezolowymi od strony chłodni. Case study pokazuje, że przegroda, pomimo spełnienia wymaganej wartości współczynnika U może być źródłem poważnych problemów.
Czym jest kondensacja na stropie i dlaczego nie możesz jej ignorować?
Kondensacja na stropie to zjawisko fizyczne polegające na skraplaniu się pary wodnej zawartej w ciepłym powietrzu na chłodniejszej powierzchni sufitu. Problem ten dotyka szczególnie stropy oddzielające pomieszczenia o różnych temperaturach, np. opisane we wpisie chłodnię od nieogrzewanego garażu lub poddasze od ostatniej kondygnacji.
Dlaczego to poważny problem?
- Zawilgocenie prowadzi do rozwoju pleśni i grzybów (zagrożenie zdrowia)
- Niszczy materiały budowlane (tynki, farby, izolacje)
- Obniża izolacyjność termiczną budynku (zawilgocone materiały mają wyższą przewodność cieplną – wyższe rachunki)
- Może prowadzić do uszkodzeń konstrukcyjnych
Kontekst i przyczyny problemu z kondensacją na stropie
Opisywany strop oddziela pomieszczenie chłodni od znajdującego się poniżej garażu nieogrzewanego. Wkrótce po przystąpieniu do użytkowania chłodni zaobserwowano, że z sufitu garażu, ocieplonego wełną mineralną, kapie woda. Przyczyną nie mogła być awaria instalacji, ponieważ problem występował praktycznie na całej powierzchni stropu.
Stwierdzono silne zawilgocenie materiału termoizolacyjnego i podjęto decyzję o jego zdemontowaniu. Po demontażu problem nie ustał, ale tym razem objawiał się widoczną kondensacją pary wodnej, tworzącą krople na powierzchni stropu (Fotografia poniżej).
Podczas wizji lokalnej, jednoznacznie potwierdzono pomiarami, że temperatura powierzchni stropu jest niższa niż temperatura kondensacji pary wodnej, co prowadziło do widocznych na zdjęciach problemów.

Przyczyną okazały się błędy projektowe. W dokumentacji projektowej przewidziano ocieplenie stropu od strony garażu wełną mineralną, bez dodatkowych warstw paroizolacyjnych.
W praktyce oznaczało to, że latem, ciepłe i wilgotne powietrze dostające się do garażu przez otwieraną bramę, przenikało do warstw termoizolacji, gdzie przy kontakcie z zimnym stropem para ulegała kondensacji, przez co wełna stała się miejscem intensywnego wykraplania wilgoci.
Taki układ warstw przegrody był z góry skazany na problemy. Demontaż zawilgoconej termoizolacji niczego nie zmienił, ponieważ temperatura powierzchni stropu pozostawała poniżej temperatury punktu rosy.
Poniżej znajduje się rysunek, który przedstawia przewidziany w projekcie układ warstw przegrody z oznaczonym obszarem kondensacji pary wodnej (po lewej) oraz rozkład temperatur w przegrodzie dla analizowanych warunków brzegowych (po prawej):

Podstawa prawna i praktyczne konsekwencje
Zgodnie z Warunkami Technicznymi, przegrody budowlane w budynku powinny być zaprojektowane i wykonane w sposób zapewniający ochronę przed zawilgoceniem. Przepisy wprost wskazują, że należy:
- zapobiegać kondensacji powierzchniowej, która mogłaby powodować trwałe zawilgocenie materiałów budowlanych oraz rozwój grzybów pleśniowych.
- uniemożliwić narastające wykraplanie się pary wodnej w warstwach przegrody (tzw. kondensacja międzywarstwowa).
W opisywanym przypadku problemu z kondensacją na stropie przegroda nie spełniała wymagań wynikających z obowiązujących przepisów. Warto jednak zaznaczyć, że nie chodzi tylko o spełnienie wymagań prawnych, ponieważ problemy z wilgocią w budynku mogą prowadzić do poważnych konsekwencji, takich jak:
- degradacji materiałów – zawilgocone tynki i warstwy wykończeniowe tracą swoje własciwości, mogą się łuszczyć i odpadać,
- zagrożenia zdrowia – wilgoć sprzyja rozwojowi grzybów pleśniowych, które wytwarzają zarodniki i mykotoksyny niebezpieczne dla ludzi,
- pogorszenia estetyki i komfortu użytkowania – mokre plamy, zacieki czy odpadanie farby obniżają standard użytkowania pomieszczeń,
- ryzyka wtórnych uszkodzeń – w dłuższym okresie wilgoć przenosi się na sąsiednie elementy budynku, co może powodować kolejne problemy.
Można więc stwierdzić, że przegroda niespełniająca wymogów cieplno-wilgotnościowych to nie tylko naruszenie prawa budowlanego, ale przede wszystkim realne źródło strat i zagrożeń w codziennej eksploatacji budynku.
Masz podobny problem z wilgocią w budynku? Skontaktuj się ze mną. Przeprowadzę profesjonalną analizę i zaproponuję skuteczne rozwiązanie.
Nieskuteczne próby rozwiązania problemu kondensacji na stropie
Zanim zlecono analizę cieplno-wilgotnościową, podejmowano różne próby opanowania sytuacji. Niestety były to działania typowo doraźne, które nie usuwały przyczyny, a jedynie chwilowo maskowały skutki.
- Malowanie farbami termoizolacyjnymi – na powierzchnię stropu nałożono powłoki reklamowane jako cienkowarstwowa izolacja termiczna. W praktyce jednak nie przyniosły one oczekiwanego efektu, temperatura powierzchni stropu nie uległa istotnej poprawie i kondensacja nadal występowała.
- Montaż klimatyzatorów/ osuszaczy w garażu – próbowano obniżyć wilgotność powietrza w przestrzeni pod stropem. Jednak w okresie letnim, urządzenia nie były w stanie obniżyć wilgotności powietrza do bezpiecznego poziomu.
Działania te wiązały się z poniesieniem dodatkowych kosztów i nie przyniosły oczekiwanych rezultatów. Dopiero przeprowadzenie dokładnych obliczeń i dobranie odpowiedniego układu materiałów pozwoliło zaproponować skuteczne i trwałe rozwiązanie.
Jak wygląda proces analizy cieplno-wilgotnościowej stropu
Aby znaleźć rozwiązanie problemu, przeprowadzono szczegółową symulację numeryczną przepływu ciepła i wilgoci przez strop w oparciu o wytyczne norm PN-EN ISO 10211 oraz PN-EN ISO 13788. Obliczenia umożliwiły określenie rozkładu temperatur w przegrodzie oraz ocenę ryzyka kondensacji, zarówno powierzchniowej, jak i międzywarstwowej, dla różnych wariantów układu materiałów.
Tak przygotowana analiza pozwoliła na zweryfikowanie szeregu scenariuszy naprawczych, bez konieczności przeprowadzania kosztownych i czasochłonnych eksperymentów na obiekcie.
Na podstawie uzgodnień ze Zleceniodawcą przyjęto do obliczeń siedem wariantów:
- Wariant 1: Rozwiązanie zaprojektowane – izolacja z wełny mineralnej od strony garażu (bez paroizolacji);
- Wariant 1a: Jak wyżej, z dodatkową paroizolacją aluminiową od strony garażu;
- Wariant 2a: Stan istniejący – strop bez termoizolacji, przyjęte warunki klimatyczne wg danych statystycznych;
- Wariant 2b: Stan istniejący – strop bez termoizolacji, warunki klimatyczne zgodnie z informacją od Zleceniodawcy;
- Wariant 3: Termoizolacja z XPS o grubości 5 cm ułożona od strony chłodni (konieczność skucia posadzki);
- Wariant 4: Termoizolacja z płyt z pianki rezolowej o grubości 5 cm od strony chłodni (konieczność skucia posadzki);
- Wariant 5: Termoizolacja z płyt PIR z powłoką aluminiową od strony garażu.
Obliczenia pozwoliły na porównanie kilku możliwych koncepcji naprawy problemu, wskazując ich mocne i słabe strony. Każdy wariant został zamodelowany i szczegółowo oceniony pod kątem cieplno-wilgotnościowym.
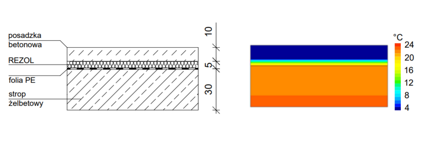
Poniżej znajduje się rysunek przedstawiający proponowany układ warstw przegrody dla wariantu nr 4 (po lewej) oraz rozkład temperatur dla analizowanych warunków brzegowych (po prawej):

Wyniki analizy cieplno-wilgotnościowej i ocena wariantów
Symulacje potwierdziły obserwacje z obiektu, zarówno rozwiązanie projektowe (wariant 1), jak i stan istniejący (warianty 2a i 2b) skutkowały znaczną kondensacji wilgoci.
Warianty z paraizolacją (1a i 5) spełniały wymagania tylko teoretycznie, ponieważ ich skuteczność była uzależniona od poprawności wykonania, co w praktyce czyniło je rozwiązaniami trudnymi w realizacji.
To pokazuje, że nie każde poprawne na papierze rozwiązanie jest możliwe do bezpiecznego wdrożenia, w takich rozważaniach zawsze trzeba uwzględniać także realia wykonawcze. Problematyczna jest także kwestia zastosowania płyt PIR (wariant 5) z uwagi na warunki ochrony przeciwpożarowej.
Najlepsze wyniki dało docieplenie stropu od strony chłodni. Rekomendowany został wariant 4 obejmujący ocieplenie płytami rezolowymi o grubości 5 cm. Rozwiązanie to:
- skutecznie eliminuje kondensację, temperatura stropu od strony garażu pozostaje powyżej punktu rosy,
- zapewnia izolacyjność zbliżoną do założeń projektowych,
- jest mniej wrażliwe na błędy wykonawcze niż warianty z paroizolacją.
Podsumowując, tylko ocieplenie od strony chłodni daje gwarancję trwałego usunięcia problemu. Rozwiązania od strony garażu, mimo że możliwe w teorii, oceniono jako zbyt ryzykowne.
Potrzebujesz pomocy z kondensacją w Twoim budynku? Skontaktuj się ze mną. Profesjonalna analiza cieplno-wilgotnościowa pozwoli uniknąć kosztownych błędów i znaleźć optymalne rozwiązanie już za pierwszym razem.
Podsumowanie
Opisany przypadek pokazuje, jak problematyczne i nieoczywiste może być poprawne zaprojektowanie ocieplenia przegrody. Potwierdza też, że skupienie się wyłącznie na współczynniku U, z pominięciem analizy dyfuzji wilgoci, nie gwarantuje poprawności rozwiązania. Dlatego warto zlecić analizę cieplno-wilgotnościową specjaliście, aby wykluczyć błędy już na etapie projektowania, które w późniejszym okresie mogą prowadzić jednocześnie do kosztownych jak i uciążliwych napraw.
Najczęściej zadawane pytania
Dlaczego na moim suficie pojawia się wilgoć, mimo że nie ma przecieków?
Jeśli masz pewność, że warstwy pokrycia (np. stropodachu) są szczelne, to może być problem z kondensacją pary wodnej. Może być to zarówno kondensacja powierzchniowa jak i międzywarstwowa, objawiająca się widocznymi mokrymi plamami na sufice.
Czy kondensacja na suficie zimą jest normalna?
Kondensacja wilgoci na stropie lub suficie NIE jest normalna i zawsze wymaga interwencji. Oznacza to, że w budynku występuje problem z wentylacją, izolacją termiczną lub paroizolacją, co może prowadzić do rozwoju pleśni i zachorowań u mieszkańców.
Jaka powinna być wilgotność w domu, aby uniknąć kondensacji?
Optymalna wilgotność względna w pomieszczeniach mieszkalnych to 40-60%. Powyżej 60% znacząco wzrasta ryzyko kondensacji, szczególnie w miejscach mostków termicznych. W najprostszy sposób, wilgotność w pomieszczeniu możesz monitorować za pomocą higrometru (koszt 30-100 zł).
Czy mogę sam naprawić problem z kondensacją?
Proste działania (poprawa wentylacji, osuszanie) możesz wykonać sam. Jednak problemy konstrukcyjne wymagają ekspertyzy jeśli kondensacja występuje regularnie i na dużej powierzchni. Lub jeśli pojawiła się pleśń bądź grzyb, albo problem dotyczy przegrody oddzielającej pomieszczenia o znacznie różnych temperaturach. Wtedy potrzebna jest analiza cieplno-wilgotnościowa i projektowanie rozwiązań naprawczych.